Gauss's Law applies to any charge contribution, but let us apply it now to the simplest case, that of a single point charge q.

Construct a spherical Gaussian surface of radius r around the
charge q. Take a small area on the Gaussian surface. The area
vector
points radially outward,
as does the electric field vector
at this point. Therefore, the
electric flux through this small area is

From the spherical symmetry, all of such small area elements contribute equally to the total.

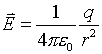
According to Gauss's Law,

because
= q. Solving for the
electric field gives

which is just Coulomb's Law!
When you're ready, go on to learn about how symmetry plays a role.